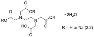
EDTA sel de di-sodium / Disodium édétate 2H2O - Solution volumétrique à 0,01 M
EDTA disodium salt, solution volumetric. [3,723 g EDTA / l H2O = 0.01 M (±0.00004/20°C)].
	
		
			|   | 
					Référence : 6120152 Unité de vente : 1 litre |  | 
	
 
	
	
	
		Pour analyses et titrations en laboratoire.
		
	 
	
	
		
			
				| Poids | 1,8 Kg | 
			
				| Volume | 0,0098 m³   (9800 cm³) | 
			
				| Largeur | 0,17 m   (17 cm) | 
			
				| Longueur | 0,17 m   (17 cm) | 
			
				| Hauteur | 0,34 m   (34 cm) | 
		
		
		Les dimensions, le poids et le volume sont bruts (emballage inclus)